O que é um sistema de arquivos?
Um sistema de arquivos é uma coleção estruturada de arquivos e dados em um disco ou unidade de computador. O nível mais alto de um sistema de arquivos é chamado de “raiz”. Pense nisso como o início do sistema de arquivos.
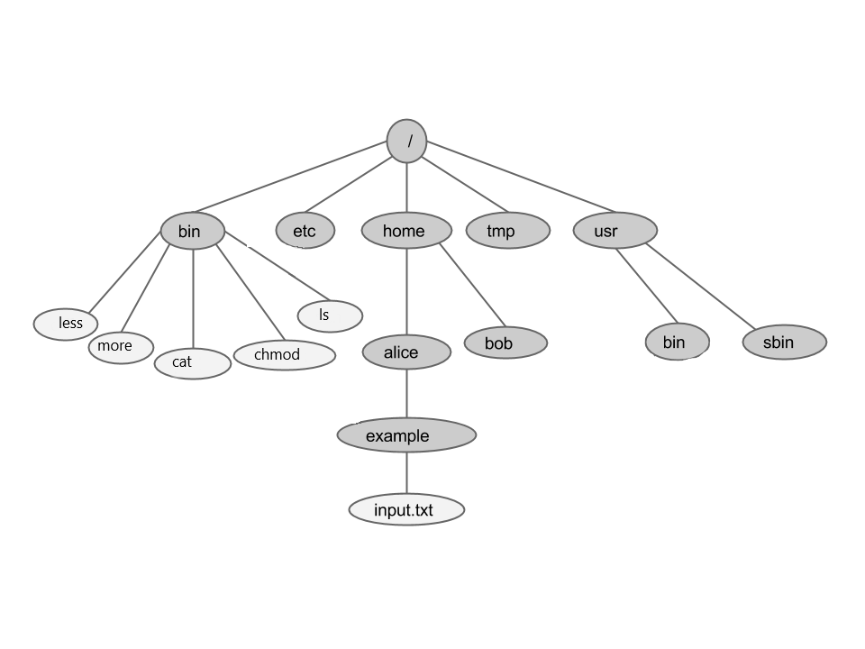
Curiosidade: os sistemas de arquivos são frequentemente descritos como uma “árvore”. Isso ocorre porque o sistema de arquivos se parece com uma árvore de cabeça para baixo e cada pasta ou diretório seria como um ramo ou folha. Por exemplo, o seu sistema de arquivos pode se parecer com o abaixo.

Em um computador Windows, você pode navegar pelo sistema de arquivos da unidade “C:\” deste computador usando o “Explorador de Arquivos”. Observe a sua estrutura abaixo:

Em um Mac, você pode navegar pelo sistema de arquivos do computador em “Finder” como podemos observar abaixo:

Onde nós estamos no sistema de arquivos?
Queremos descobrir qual é o nosso “diretório de trabalho atual”. Este é o local no sistema de arquivos em que você está atualmente.
O comando do Linux pwd exibirá o caminho completo do diretório de trabalho atual. Traduzindo do Inglês, significa “Imprima o diretório Atual”. Vamos tentar?
pwd
A saída esperada para o seu comando pode ser parecida com a nossa abaixo:

Ela mostra o caminho /home/nuvi. E o que isso significa? Tentaremos desvendar abaixo:
/: Este é o símbolo para o diretório raiz do sistema de arquivos. É sempre o primeiro diretório no Linux./home: Este é o caminho do diretóriohome, localizado no diretório raiz./home/nuvi: Este é o caminho para o diretórionuvi, localizado no diretóriohome. A saída do terminal finaliza aqui, significando que/home/nuvié o diretório de trabalho atual onde estamos localizados.- O processo de entrar no sistema de arquivos através de cada diretório pode continuar por muitas outras etapas em alguns casos.
- O caminho exibido e descrito acima é chamado de caminho absoluto, porque é o caminho fornecido do diretório raiz até o diretório atual.
Como podemos navegar pelo sistema de arquivos?
Para mover para um diretório diferente, use o comando cd. Isso significa “Alterar diretório”. O formato deste comando é cd [nome do diretório].
Na saída do terminal acima, podemos observar que quando digitamos pwd novamente, o diretório de trabalho em que estamos agora é Desktop. Agora vamos tentar o comando cd ..:
cd ..
O .. após o comando cd leva você um nível acima na árvore do sistema de arquivos. A saída de pwd agora mostra que estamos de volta ao diretório que começamos, ou seja, nós começamos no diretório nuvi, depois descemos a árvore para diretório Desktop com o comando cd Desktop, e então subimos na árvore com o comando cd ...